De Nederlandse stikstofcrisis sleept zich al meer dan zes jaar voort. Beleidsmakers, natuurorganisaties en boeren staan tegenover elkaar in een dossier waarin de spanning tussen natuurbehoud en economische activiteiten centraal staat. Een belangrijk deel van de discussie draait om ammoniak (NH₃) uit de landbouw, specifiek uit stalemissies. Maar wat weten we nu écht over de impact van die emissies op de natuur? En sluiten de gebruikte rekenmodellen wel aan bij de praktijk?
Recente meetgegevens en modelanalyses werpen nieuw licht op deze vragen. Mijn onderzoek op basis van RIVM-meetdata van Schiermonnikoog toont aan dat ammoniakuitstoot van een stal slechts een sterk lokaal effect heeft. Als een stal op 250 tot 500 meter afstand van een natuurgebied staat, is er in de praktijk geen meetbaar effect meer op de ammoniakconcentratie in de lucht boven dat natuurgebied. Toch rekent de overheid in haar vergunningverlening met impact tot wel 25 kilometer. Dit verschil roept fundamentele vragen op over de betrouwbaarheid van de rekenmodellen die het hart vormen van het Nederlandse stikstofbeleid.
Schiermonnikoog als natuurlijke proeftuin
In 2021 vond op Schiermonnikoog een ongepland experiment plaats: bijna 40% van de melkveestapel werd afgevoerd. CLM berekende op basis van de KringloopWijzer een emissiereductie van 21%. Logischerwijs zou dit effect zichtbaar moeten zijn in de ammoniakconcentraties in de lucht. Maar de meetstations op het eiland lieten niets van die daling zien.
Nader onderzoek naar de relatie tussen afstand tot de stal en ammoniakconcentratie onthulde een patroon dat ook elders door boeren en wetenschappers wordt waargenomen:
- Direct rondom de stal zijn ammoniakconcentraties hoog (100-150 µg/m³).
- Op 50-100 meter afstand dalen de concentraties al naar 50-100 µg/m³.
- Tussen 250 en 500 meter afstand daalt de concentratie verder tot het achtergrondniveau (10-15 µg/m³), oftewel de ‘stikstofwolk’ die overal in Nederland hangt.
Kort gezegd: na enkele honderden meters van een stal is de invloed van die stal op de luchtconcentratie niet meer meetbaar. Dit wijst erop dat de bijdrage van een individuele stal aan stikstofdepositie op natuur op grotere afstand verwaarloosbaar is en niet significant.

Gaussian Plume Curve: hoe verspreidt ammoniak zich?
De verspreiding van stoffen in de lucht is al sinds de jaren zestig onderwerp van wetenschappelijk onderzoek. De Gaussian Plume Curve (GPC) is een wiskundig model dat helpt begrijpen hoe emissies zich verspreiden afhankelijk van wind, weersomstandigheden en afstand. Dit model voorspelt een snelle verdunning van ammoniak naarmate de afstand tot de bron toeneemt.
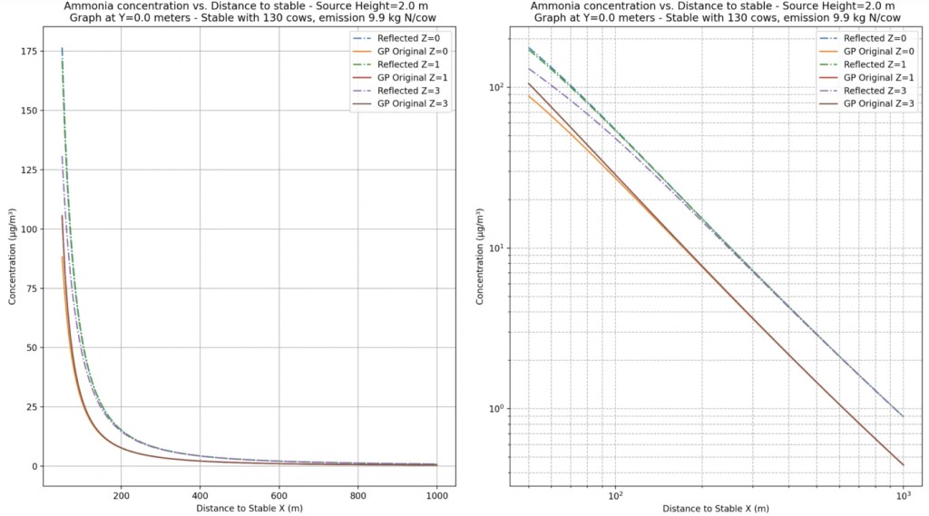
Met een eigen variant van dit model – het GPC-de Heij model – heb ik die verdunning voor stallen met melkvee doorgerekend. Mijn simulaties bevestigen wat de meetdata ook laten zien: na 250 tot 500 meter is de invloed van een stal op de ammoniakconcentratie verwaarloosbaar. Op grotere afstanden is alleen de regionale achtergrondconcentratie nog van betekenis.

OPS en DEPAC: de kern van Aerius
Het RIVM gebruikt voor vergunningverlening het rekenmodel OPS, verwerkt in de Aerius Calculator. OPS simuleert hoe ammoniak zich verspreidt, terwijl de module DEPAC die concentraties vertaalt naar stikstofdepositie op natuur.
Beide modellen spelen een doorslaggevende rol in het stikstofbeleid, maar hoe goed zijn ze eigenlijk? Mijn bevindingen roepen hier twijfels over op:
Voorspelt OPS de concentratie goed?
De gemeten ammoniakconcentraties dalen in de praktijk veel sneller met de afstand dan OPS lijkt te berekenen. Dat roept de vraag op of OPS de nabijheidscomponent niet overschat en verder weg te lang een effect toekent aan een individuele stal.
Hoe goed werkt de koppeling tussen concentratie en depositie in DEPAC?
DEPAC gebruikt een weerstandenmodel waarbij de ammoniakconcentratie boven natuur de depositie bepaalt. Maar de mate waarin ammoniak daadwerkelijk neerslaat, hangt af van factoren zoals vegetatie, vochtigheid en turbulentie. Is die relatie in de praktijk wel zo direct en lineair als het model veronderstelt?
Twee cruciale onderzoeksvragen
De betrouwbaarheid van OPS en DEPAC is van essentieel belang. Daarom stel ik voor dat het stikstofbeleid voortaan gebaseerd wordt op onderzoek naar deze twee fundamentele vragen:
- Hoe goed voorspelt OPS de ammoniakconcentratie op verschillende afstanden van een stal?
- Hoe nauwkeurig beschrijft DEPAC de relatie tussen ammoniakconcentratie in de lucht en de uiteindelijke depositie op natuur?
Meten is weten?
Het stikstofbeleid moet minder afhankelijk zijn van complexe rekenmodellen zoal OPS/Aerius en meer gebaseerd worden op feitelijke metingen en rationaliteit. Het experiment op Schiermonnikoog en de data die ik verzamelde, onderstrepen de noodzaak hiervan. Vergunningverlening die na vele honderden meters afstand nog precieze depositie wil toeschrijven aan een specifieke stal, is wetenschappelijk niet houdbaar.
Nieuwe koers: afstandsgrens en gericht meten
Een beleidswijziging ligt voor de hand:
- Erken dat ammoniak vooral lokaal effect heeft en stel een afstandsgrens van 250 tot 500 meter in. Stallen die op grotere afstand van natuurgebieden liggen, zouden niet standaard als risicovol beschouwd moeten worden.
- Investeer in een landelijk netwerk van ammoniakmeetstations om de werkelijke concentraties en vooral de natte deposities frequenter te monitoren.
- Herzie OPS en DEPAC en valideer ze met praktijkmetingen, zodat vergunningverlening minder afhankelijk is van onzeker rekenwerk. Nog beter, stop met OPS/Aerius.
Conclusie: wetenschap als uitweg uit de impasse
De stikstofcrisis vraagt om een realistische benadering, gebaseerd op data en gedegen modelvalidatie. De antwoorden op de twee kernvragen – hoe goed voorspelt OPS de concentratie, en hoe robuust is de concentratie-depositie relatie in DEPAC – zijn onmisbaar om tot effectief én eerlijk stikstofbeleid te komen.
Meten is weten. Pas als we die basis op orde hebben, kunnen we Nederland echt uit de stikstofimpasse trekken. Maar de eerste conclusie is eenvoudig: de afstand telt.
Dit artikel is een bewerking van een eerder verschenen artikel op Foodlog (juli 2024). De meetgegevens en modelanalyses zijn afkomstig uit eigen onderzoek en bijdragen van betrokken boeren.

Plaats een reactie